概述
目前锅炉的系列较多,燃用煤质情况差别较大,又加装除尘设备和余热利用设备之后,产生抽力不足从而影响正常运行,为了克服锅炉由上述原因所引起的抽力不足,炉膛出现正压等影响锅炉燃烧和正常运行的现象,故设计制造了其风量、风压与锅炉匹配的高效率的各型号锅炉引17c吃瓜 ,供用户选用,Y6-30为其中之一。
17c吃瓜
的型式
1、17c吃瓜 可制成左旋和右旋两种型式,从电动机一端正视叶轮,凡顺时针方向旋转者称旋17c吃瓜 ,以“右”表示。反之,称左旋17c吃瓜 ,以“左”表示。
2、17c吃瓜 的口位置以机的出风口角度表示,右左旋向可制成0度、45度、90度、135度、180度、225度诸出口方向。用户订货时除注明“左右”旋向外,还需注明出风口角度。
3、17c吃瓜 的传动方式为C式和D式两种。
17c吃瓜
的结构
17c吃瓜 主要由叶轮、机壳、调节门、传动、进风口组成。
1、叶轮由数片叶片、曲线型前盘和平直后盘组成,均采用钢板制造。叶轮经动静平衡平衡检验,空气动力性能良好、效率高、噪声低、运转平稳。
2、机壳均采用钢板焊接而成的蜗旋体。
3、一般17c吃瓜 都带有调风门,是用来调节17c吃瓜 风量大小的装置,从而使风量、风压调至到锅炉运行的佳状态。
4、传动由主轴、轴承箱、联轴器或皮带盘组成。主轴用优质钢精制而成,轴承为滚动轴承。轴承箱内有足够容积,以放置冷却油,并有油位指示器,以保证正常运行。
17c吃瓜
的性能与选择
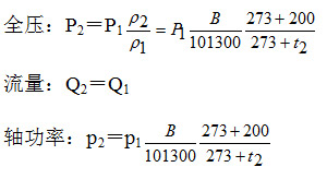
(1)引17c吃瓜 性能 引17c吃瓜 性能以17c吃瓜 的流量、全压、主轴转数、轴功率和效率等参数表示(见引17c吃瓜 性能表)性能表中给出性能是按温度t=200℃,大气压力Pa=101300Pa,烟气密度ρ=0.745kg/m3计算。
1、如引17c吃瓜
使用条件与上述不符时性能按下列公式进行换算。

式中:
p1、Q1、P1性能表中查出的全压(Pa)、流量(m3/h)、轴功率(KW)
t2、B、Q2、P2、N2为使用条件下温度、大气压力、流量、全压、轴功率。
2、所需功率按下式算出

式中:Q2、P2、η分别为引风使用条件下的流量(m3/h)、全压(Pa)、内效率。
机械传动效率η1
| 传动方式 |
机械效率η1 |
|
电动机直联传动 |
1.00 |
|
联轴器直联传动 |
0.98 |
|
V带传动(滚动轴承) |
0.95 |
K为电动机容量安全系数,一般取1.3。
选用电动机时其功率一般不低于所需功率的数值。
(2)17c吃瓜
的选择
1、该引17c吃瓜
因与锅炉配套设计,在锅炉上使用只需按性能表选用即可。在锅炉经改造后出力有所变更时,可根据烟气量之大小,阻力之高低选用性能表中的数据。
2、在改用其它用途时,可根据上述计算公式换算后选用。
3、引17c吃瓜
一般在进风口前设流量调节装置(或利用锅炉本体附带之调节阀)以便根据在其它用途时亦可用此方法随时调节其风量和风压。
17c吃瓜
的安装运转
在安装前,首先应对17c吃瓜 各部分的机件进行检查。对叶轮、主轴和轴承等关健机件更应细致检查,如发现有损伤应予修好或更换,然后煤油清洗轴承箱内部。
在进行安装操作过程中必须注意以下几点:
1、在一些结合面上,为防止锈蚀,减少拆卸困难等,应涂润滑脂或机械油。
2、在上接合面的螺栓时,如有定位销钉,应先上好定位销钉,打紧后拧紧螺栓。
安装要求:
1、按图纸所示的位置及尺寸进行安装,为了得到高效率,特别要保证进风口与叶轮的间隙尺寸。
2、要确保主轴的水平位置,并测量引17c吃瓜 皮带轮与电动机皮带轮的平行度,其允许差应不大于0.5mm。
3、安装调节阀时,注意不要装反,要保持进风口方向与叶轮旋转方向一致。
4、引17c吃瓜 装好后,用手或杠杆拨动叶轮,检查是否有过紧、摩擦、碰击等不正常现象。
5、为了防止烟风道的重量和热膨胀对引17c吃瓜 运行的影响,引17c吃瓜 的进出口烟(风)道接洽处应装上石棉帆布或高温材料制成的软接头。
6、轴承箱内部应加进20#纯机油冷却用,注至油标中心线为宜,切不可用黃油或其它含有杂质的废油。
7、全部安装完后,进行总检查,符合要求后再进行试运转。
引17c吃瓜 的试运转:
试运转应首先在无负荷(关闭进风口上的调节门)的情况下进行,如情况良好,然后再进行满负荷(全开进风口前的调节门,开动锅炉鼓17c吃瓜 等)的正常工况试运转,如无异常情况,经检查合格,即投入生产。
注意:引17c吃瓜 的试运转大多是在常温下进行的,而引17c吃瓜 性能数据中所配用电动机则系高温工况下的功率,二者因冷热气体比重不同而相差较大,故引17c吃瓜 常温下试运转时间不得超过6分钟,以免电机过载烧坏若引17c吃瓜 需进行长时间满负荷试验时应根据上述公式换成符合工况的电动机方可。
17c吃瓜 的维护和操作
为了避免由于维护、操作不当引起人为事故,充分发挥设备的效能,延长设备的使用寿命,为此必须加强引17c吃瓜 的维护和操作,应注意以下事项:
1、经常注意引17c吃瓜 的运转情况,各部位是否处于良好状态(如油位、冷却水、电仪表、管线等)有否异常现象。
2、调节门灵活,以便根据锅炉负荷变化而随时调节,达到良好运转。
3、引17c吃瓜 运转过程中,轴承温升不得高于40℃,表温不得高于80℃,并定期检查温度计、油标的准确性。
4、在开、停车及运转中发现不正常现象应立即进行检查,发现故障应及时设法排除,但对17c吃瓜 的修理不许在运行中进行。
5、定期清除引17c吃瓜 内部积灰、污垢和积水等杂质并防止锈蚀,除每次检修后更换一次润滑油外,正常情况下每4~6个月更换一次润滑油,油位以保持中线为宜,不要加油过多,以防轴承发热漏油。
6、在引17c吃瓜 发生下列现象时,要紧急停车,并查明原因,及时排除,以确保安全运转:
(1)发觉引风有剧烈的噪音、振动、碰击等不正常现象时。
(2)发觉轴承箱有剧烈振动,轴承温度急剧上升等不正常现象时。
(3)发觉电动机电流过大和温升过高等不正常现象时。
订货须知
1、我厂生产的引17c吃瓜 ,畅销全国,经鉴定后和用户单位使用,符合设计要求,具有体积小、噪音低、耗电省、造型美观、运转稳定等特点。
2、用户可根据需要,选购左旋、右旋及各种出风角度。
3、欢迎用户及锅炉厂来电、来函或面洽订货。
Y6-30-12型锅炉引17c吃瓜 性能与选用件表
|
机号 № |
传动 |
转速 |
全压 Pa |
流量 |
内效率 |
电动机 |
配用锅炉 |
|
|
型号 |
功率 |
|||||||
|
3.5 |
C |
2350 |
853 |
655 |
66 |
Y801-2B3 |
0.75 |
0.2 |
|
4.3 |
C |
2260 |
1206 |
1169 |
66 |
Y90S-2B3 |
1.5 |
0.2 |
|
4.8 |
C |
2250 |
1490 |
1619 |
66 |
Y90L-2B3 |
2.2 |
0.5 |
|
5.4 |
C |
2300 |
2157 |
2202 |
66 |
Y100L-2B3 |
3 |
0.5 |
Y6-30-12型锅炉引17c吃瓜 性能与选用件表
|
机号 № |
传动 |
转速 |
全压 Pa |
流量 |
内效率 |
电动机 |
配用锅炉 |
|
|
型号 |
功率 |
|||||||
|
6.5 |
C |
2150 |
2383 |
2926 |
77 |
Y112M-2B3 |
4 |
1 |
|
Y132S1-2B3 |
5.5 |
|||||||
|
7.5 |
C |
1900 |
2598 |
5216 |
77.5 |
Y132M-4B3 |
7.5 |
2 |
|
Y160M-4B3 |
11 |
|||||||
|
C |
1800 |
2736 |
5000 |
78 |
Y132M-4B3 |
7.5 |
2 |
|
|
Y160M-4B3 |
11 |
|||||||
|
8.6 |
C |
1850 |
3226 |
9494 |
78 |
Y180M-4B3 |
18.5 |
4 |
|
Y180-4B3 |
22 |
|||||||